本文介绍了零知识证明(ZKP)领域中的Sum-Check协议,该协议允许证明者向验证者证明一个多元多项式在布尔超立方体上的求和结果,验证者通过多轮交互和挑战来验证结果的正确性。该协议是构建更复杂零知识证明系统的基础,文中还讨论了协议的完整性和可靠性,并对其计算成本进行了简要分析。
为了获得更具互动性的体验,请在我的个人博客 Arkana 上阅读本文。
现在我们已经掌握了有限域和多项式,是时候看看我们的第一个证明系统了。耶!
事实上,我们即将展示的工具乍一看可能有点毫无意义。当孤立地研究它时,会感觉像是一种极其复杂的方式来执行一个非常简单的任务。
但不要因此而气馁!事实上,这个工具极其重要,原因妙不可言:许多我们想要证明的问题都可以简化为我们即将揭示的一个版本。
因此,我恳请大家以开放的心态来阅读今天的文章。将今天的主题视为我们获得有用证明系统的道路上的又一个垫脚石。
我保证,事情很快就会开始变得清晰起来。相信这个过程!
好吧!期望很高,所以我们不要浪费时间。让我们来谈谈 sum-check 协议。
作为对我们第一次相遇的简短回顾,我们想要做的是构建某种证明系统,以证明某些计算的结果是有效的,并且理想情况下,所用的时间要少于计算本身。
好的,那么…… 我们在谈论什么样的计算?
到目前为止,我们的工具包只包括多项式。以这些为基础,我们可以尝试想出表示有用计算的方法——我们可以证明的那种。
好的,那我们先从小处着手。取某个单变量多项式 $P(X)$。也许我们能做的最简单的事情就是在某个点评估它。就此而言,我想指出的是,在评估时,有两个特殊的点具有有趣的特性:0 和 1。
思考一下:当 X = 0 时,所有包含 X 的项都会消失,只留下没有 X 的项。这通常被称为常数项或零次系数。
同样,在 X = 1 处评估多项式,只会得到多项式中所有系数的和!
从本质上讲,这些点很好,因为我们不需要花时间计算 $X$ 的任何幂。当然,我们可以使用任何其他的点,但这些点正好很方便,并且对今天的构造非常重要。
我知道。这不是最有趣的东西,但这是一个开始。

耶……
接下来我们可以尝试的是将评估结果加在一起。例如,我们可以有:

$P(0) + P(1) = k$
其中 $k$ 是某个域元素。由于我们之前陈述的原因,直接执行这个计算非常容易:评估非常简单。看来我们并没有取得多大进展——毕竟,我们说过,只有当验证时间与计算工作量相比有真正收益时,证明结果才有意义。
在这里,计算非常简单,以至于尝试构建一个单独的验证算法有点荒谬。
我的意思是,看看上面的表达式!
那么,我们如何提高难度呢?
如果我们的起点是一个多元多项式,会发生什么?就像这样:

$g(X_1, X_2, X_3,…,X_v)$
现在我们开始讨论了。
在评估复杂度方面,我们与之前的情况几乎相同:在变量值为 0 和 1 时评估这些多项式非常简单。
但是当我们考虑组合学时,情况会发生变化。由于我们现在有 v 个变量,并且每个变量可以是 0 或 1,因此我们现在有 $2^v$ 种可能的组合要评估!
这些点,表示为集合 {0,1}ᵛ,形成了所谓的 布尔超立方体。
计算这个和确实需要更多的工作:

$H = \sum_{b1 \in {0,1}} \sum{b2 \in {0,1}}\cdots\sum{b_v \in {0,1}} g(b_1, b_2, …, b_v)$
用 Big O 术语来说,我们可以说计算 $H$ 需要指数时间 $O(2^v)$。这意味着至少需要 $2^v$ 次评估。
我假设你熟悉这个符号,但作为一个简短的解释,它所做的是根据表达式中增长最快的项来表达复杂度。
随着变量值的增加,所述项的增长速度将比其他项更快(更重要),使得与每个其他项相比,其他每个项都可以忽略不计。
因此,例如,取 2X² + X。随着 X 变大,X² 的增长速度比 X 快得多 —— 并且很快,X² 将比 X 大得多。因此,我们说表达式的复杂度为 O(X²)。请注意,我们忽略了乘法因子,因为它们不影响函数的行为 —— 它们只会缩放它。
对于非常大的 $v$ 值,指数时间可能非常长。
对于我可怜的电脑来说,时间太长了,但对于拥有重型硬件的人来说,可能并非如此。

是啊…… 这行不通
在这种情况下,尝试制造一种算法来快速验证某个声明的结果 确实 是有意义的。
而这正是 sum-check 协议的目标!
让我们看看它是如何工作的。
协议 只是一个步骤序列,由各方之间交互期间必须遵循的规则定义。这正是我们的情况:证明者和验证者将以一种非常特殊的方式互动。
我们即将提出的这个协议的优点在于它的递归 性质。
计划是这样的:我们将首先解释单个轮次是如何工作的。一旦我们完成了这一点,就会立即清楚地看到,要继续前进,我们将不得不进行另一轮这样的轮次。每轮都会对问题进行某种程度的简化,直到我们剩下一个非常容易检查的条件。

很简单,对吧?

哇,哇,冷静…… 好的,一步一步来。
设置如下:证明者声称已经计算了在 ${0,1}^v$ 上多项式 $g(X₁, X₂,…, Xᵥ)$ 的和 $C$。 他们的目标是说服验证者 $C$ 是正确的结果。
为此,证明者将做一些看起来很奇怪的事情:$g$ 的部分和。

$g_1(X1) = \sum{(x_2, …, x_v) \in {0,1}^{v-1}} g(X_1, x_2, …, x_v)$
如果你仔细观察,你会注意到我们没有包括第一个变量 $X₁$ 的计算。 因此,结果是一个新的多项式 —— 具体来说,是一个单变量多项式。

信不信由你,这是他们必须做的全部。 证明者可以将 $C$ 和 $g₁(X₁)$ 发送给验证者,有了这些值,验证者可以轻松检查以下等式:

$C = g_1(0) + g_1(1)$
显然,如果 $C$ 被正确计算,则该等式应该成立(如果不相信,请随时自己检查!)。 因此,如果此测试通过,我们就完成了! 验证者可以自信地说 $C$ 是正确的!
或者... 他们可以这样做吗?
实际上,这种推理存在一个关键问题 —— 这也是我们在前进的过程中需要始终牢记的考虑事项。 我们之前说过这一点,但我会再次用大写字母说出来,这样你们就永远不会忘记:
证明者可能在撒谎
他们会隐瞒什么呢? 好吧,他们可以隐瞒一切 —— 但在这种情况下,他们没有太多选择:他们要么不知道 $g$,要么隐瞒 $C$ 的值。
因此,假设证明者想要说服验证者某个值 $C^*$ 是正确的结果,但实际上是不正确的。 他们会怎么做?
他们可以控制的几乎唯一的旋钮是多项式 $g₁(X₁)$。 如果你考虑一下,没有任何东西可以阻止证明者制作一个简单的多项式 $g₁^*$,以便通过验证者的检查!

$C^ = g_1^(0) + g_1^*(1)$
这甚至不会太难!
就目前的情况而言,该算法将无法工作。 我们需要一种方法来检查 $g₁(X₁)$ 是否已正确计算。
让我们花点时间思考一下我们的选择。 当然,验证者不能相信证明者的话。 而 $g₁(X₁)$ 只是一个多项式 —— 我们能做的就是评估它在某个点的值。
等等…… 如果我们在某个随机点 $r₁$ 评估 $g₁(X₁)$ 会发生什么?

$g_1(r1) = \sum{(x_2, …, x_v) \in {0,1}^{v-1}} g(r_1, x_2, …, x_v) = C_2$
你看到了吗? 一个小小的奇迹在我们眼前展开:我们回到了起点!

嗯?
是的,对不起。 让我解释一下。
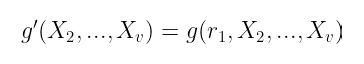
一旦我们选择并确定了一个随机点 $r₁$,评估 $g₁(r₁)$ 实际上是对简化的布尔超立方体求和。 好像我们正在用另一个函数 $g’$ 替换原始函数 $g$,并且变量少了一个:

$g’(X_2, …, X_v) = g(r_1, X_2, …, X_v)$
现在,我们可以问同一个原始问题:我们能否证明 $g$ 的这个简化版本在简化的布尔超立方体上的和为 $C₂$?
而妙处在于,另一轮 sum-check 就能解决问题!
我想说的是,我们可以以递归方式 一遍又一遍地 执行此操作,在每一轮中将 $g$ 中的变量数量减少一个。 因此,在 $v$ 轮之后,我们将只剩下一个 $g$ 的单个评估。
在结束之前,我相信通过一个简单的例子来看看到底是怎么做的会很有帮助。
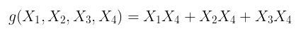
例如,取这个 4 次的多项式:

$g(X_1, X_2, X_3, X_4) = X_1X_4 + X_2X_4 + X_3X_4$
这个多项式必须在某个有限域上定义,所以让我们选择一个简单的,比如 𝔽₁₃。
首先,证明者将计算布尔超立方体 ${0,1}⁴$ 上的和。
这总共加起来是 16 个评估!
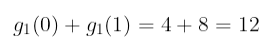
你可以随意自己进行计算 —— 但本着查看证明系统实际运作的精神,让我们假设证明者声称结果为 $C₁ = 12$。
证明者还发送多项式 $g₁(X₁)$,并声称它是 $4X₁ + 4$。 然后,验证者只需检查:

$g_1(0) + g_1(1) = 4 + 8 = 12$
好的,第一轮,完成。 现在验证者选择一个随机值 $r₁$。 假设该值为 $r₁ = 5$。
然后,证明者计算 $C₂$,结果恰好为 $C₂ = 11$。 所以现在,证明者必须计算这里的这个多项式:

$g_2(X2) = \sum{(x_3, x_4) \in {0,1}²} g(r_1, X_2, x_3, x_4)$
结果是 $g₂(X₂) = 2X₂ + 11$。
我们可以很容易地计算出这一点,因为作为证明者,我们知道原始的 g。
如果我们不知道 g,那么这个随机选择的 r₁ 已经会让我们的生活变得艰难! 这种类型的“挑战”互动非常重要,我们稍后会将其形式化。
好的! 现在我们检查是否:

$g_2(0) + g_2(1) = 11$
尽管结果似乎是错误的(我们得到 24),但一旦我们记住我们正在有限域上工作,一切都变得清晰起来,所以 $24 \mod 13 = 11$。
对于第三轮和第四轮,我们只需冲洗并重复。 为了简洁起见,我将只总结步骤:
完整的过程如下所示:

到目前为止,一切都进展顺利。 但是我们有一个小问题:我们的变量用完了!

咦?
没错 —— 原始多项式无法进一步简化。 验证者收到了 $g₄(X₄) = 2X₄$,他们需要检查 $g₄(2)$(在本例中,等于 $C₅ = 4$)是否与评估 $g(5,3,7,2)$ 的结果完全相同。
由于我们无法执行另一轮,因此看起来我们没有任何选择来检查最后一个值的有效性。 这不好:如果该值只是编造的,以便一切都能正常工作呢?
此时,我们需要一种不同的策略。
我们需要一种机制来验证 $C₅$ 是否正确。 请注意,$C₅ = g(5,3,7,2).$ 如果存在某种神奇的方法可以在该输入下安全地评估 $g$,那么我们可以将其与 $g₄(2)$ 进行比较,并很好地结束该过程。
可悲的是…… 现在还不是我们了解如何在数学上实现这一点的时候。
不过,与其要求你信任我,我建议你这样做:让我们给它取一个名字,这样我们就不会忘记它。 当时机成熟时,我们可以回到这个概念,并真正地将一切联系在一起。
我们会说我们有对 $g$ 的预言机访问权限。 通过这一点,我们意味着我们有一种方法可以在某个随机点评估 $g$,并且我们保证获得正确的值。
因此,最后,经过每一轮中的所有检查后,验证者在 ( $r₁, r₂, r₃, r₄$) 处执行 $g$ 的预言机查询,如果该值与 $C₅ = g₄(r₄)$ 匹配,则接受证明。
当然,整个过程可以推广到任何程度 —— 而且程度越高,节省的时间就越有意义!
这就是 sum-check 协议!
这绝对是一个非常优雅的算法。 我知道一开始可能感觉有点太多,所以我鼓励你花时间让它沉淀下来,然后再继续前进。
不过,有了这些证明方法,我们需要精确 —— 这意味着为了让我们自信地说“是的,这行得通”,我们需要正式证明该算法既是完整的又是可靠的。
从现在开始,这将成为我们学习的任何算法的标准做法。 由于这是我们第一次在本系列中介绍算法,因此让我们简要回顾一下这些属性意味着什么:
实际上,可靠性有各种类型,但我们将把该讨论推迟到以后。
完整性非常简单:如果证明者确实知道 $g$,并且已正确计算出 $C$,那么他们只需根据协议正确构建每个 $gᵢ$,即可通过每一轮。 这是因为他们知道 $g$,所以他们应该可以毫无问题地对每个挑战提供回应。
可靠性更难证明。 本质上,我们需要衡量证明者作弊的难度。
为此,让我们实际完成一次作弊尝试。 假设证明者不知道 $C$,而是声称 $g$ 在布尔超立方体上的和为 $C^$。 或者更糟:他们有兴趣说服我们,结果 $C^$ 对他们自己有好处!
他们如何欺骗验证者?
好吧,在第一轮中,他们需要发送一些多项式 $g₁^*(X₁)$,以便:

$g_1^(0) + g_1^(1) = C^*$
现在,这就是有趣的地方:他们不能使用 g 来计算 $g₁^(X₁)$,因为总和(很可能)不同于 $C^$。 因此,他们需要制作 $g₁^*(X₁)$,以便通过第一次检查。
换句话说,$g₁^(X₁)$ 和真实的 $g₁(X₁)$ 是不同的多项式。 因此,当验证者选择他们的第一个挑战 $r₁$ 时,$g₁(r₁)$ 和 $g₁^(r₁)$ 具有相同值的可能性非常小。
我们实际上可以准确地知道这种可能性有多小。 本着保持渐进的精神,我认为最好将该讨论留到以后进行。 不过,我想说的是,你在上篇文章中拥有进行此项工作所需的所有信息。
所以如果你想考虑一下,请便! 如果没有,请不要担心 —— 我们会回到这一点。
如果 $g₁(r₁)$ 和 $g₁^*(r₁)$ 恰好重合,那就太不幸了。 如果是这种情况,证明者可以继续他们的谎言,只是这一次他们可以在理论上用有效的多项式回应每一个后续轮次:他们只需正常计算 $gᵢ$ 即可。
我们可以以相同的递归方式将相同的推理应用于每一轮:要通过第 2 轮,证明者需要构建 $g₂^(X₂)$,以便它通过下一次检查,并且他们必须在下一次挑战中幸运($g₂(r₂) = g₂^(r₂)_$)。
如果发生这种情况的概率为某个值 $δ$,那么作弊的证明者有 $v$ 机会幸运(或总共 $v$ 个掷骰子),因此成功抢劫的总概率为 $v\cdotδ$。 只要这个组合值很小,那么该算法就是可靠的。
最后,最终的预言机查询允许验证者抓住证明者在最后的谎言(当然,除非他们幸运)。
所以你明白了! sum-check 协议满足完整性和可靠性要求。
我们刚刚看到了我们的第一个可验证的计算算法。 现在看来可能并不多,但这是一个开始。 在此过程中,我们已经了解了一些有价值的工具和概念,例如递归、验证者挑战、巧妙的多项式评估、预言机查询,甚至如何检查完整性和可靠性!
我故意跳过了此协议的计算成本,因为我希望我们现在专注于数学。 如果你好奇的话,你可以轻松地自己进行计算 —— 并且你会发现三件事:
显然,随着 $v$ 变大,验证者比证明者快得多。 但是可能会围绕这一点出现一些问题:线性时间是否足够好? 证明者花费太长时间是否重要?
特别是,通信开销 呢? 验证者可能运行得更快,但如果它必须等待证明者,那么整个过程就会变慢!
嗯…… 是的。 以目前的形式来看,这不是一个非常实用的协议。
我警告过你!
让我们只说它具有潜力。
在接下来的几篇文章中,我们将开始拼凑 sum-check 协议的重要性。 为此,我们将希望跳到其他重要的想法上,特别是关于如何以通用方式表示语句和计算。
这将是下一个主题!
- 原文链接: medium.com/@francomangon...
- 登链社区 AI 助手,为大家转译优秀英文文章,如有翻译不通的地方,还请包涵~
如果觉得我的文章对您有用,请随意打赏。你的支持将鼓励我继续创作!